Robert Orlowski, Deputy Chair of Lymphoma/Myeloma, Vice Chair of MM Research, and Florence Maude Thomas Cancer Research Professor at the University of Texas MD Anderson Cancer Center, shared a post on X:
“Myeloma Paper of the Day:
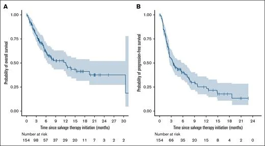
Real-world French study of outcomes in pts w/ early relapse from ide-cel shows non-BCMA TCEs gave higher ORR (67% vs 30%; P = .018), OS (19.48 vs 8.41 mos; P = .034) and PFS (9.2 vs 3.81 mos, P = .035) vs. anti-BCMA TCEs.”
Title: Poor outcomes with BCMA-targeting bispecific antibodies following early relapse from ide-cel: a real-world French study
Authors: Sarah Cayla, Lionel Karlin, Jérôme Lambert, Anne Lazareth, Alexis Talbot, Mohamad Mohty, Florent Malard, Marie-Odile Petillon, Salomon Manier, Ibrahim Yakoub-Agha, Denis Caillot, Ingrid Lafon, Xavier Leleu, Niels Moya, Bruno Royer, Jean-Marc Schiano De Colella, Gabriel Brisou, Cyrille Touzeau, Aurore Perrot, Pierre Bories, Laure Vincent, Hanane Guedon, Olivier Decaux, Benoît Ferment, Roch Houot, Steven Le Gouill, Noémie Bigot, Thierry Facon, Jill Corre, Hervé Avet-Loiseau, Philippe Moreau, Bertrand Arnulf
You can read the Full Article in Blood Advances.

You can find other articles featuring Robert Z. Orlowski on OncoDaily.