Zhaohui Su, VP of Biostatistics at Ontada, shared a post on LinkedIn:
“Treatment switching, which occurs when patients in a clinical trial move from the control arm to the experimental therapy, is often ethically necessary in oncology and it creates major statistical challenges. It can obscure the true effect of a new treatment and weaken the evidence used for regulatory and reimbursement decisions.
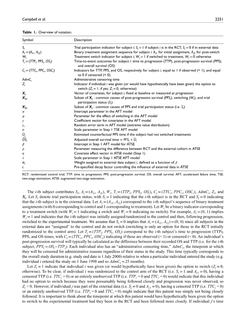
A newly published paper by Campbell and colleagues addresses this issue by introducing a more robust way to recover unbiased survival estimates without discarding valuable trial data.
What’s new?
The authors propose Augmented Two‑Stage Estimation (ATSE), a method that blends traditional trial data with carefully selected external real world or historical data. ATSE dynamically reduces the influence of external data when it appears less compatible, which means it improves precision only when the data genuinely support it.
Why it matters:
Regulators and HTA bodies expect credible and unbiased survival estimates.
Real‑world evidence (RWE) is playing an expanding role in trial design and evaluation. ATSE creates a practical connection between rigorous causal inference and pragmatic data integration.
Impact:
Simulation results show that ATSE can reduce bias and improve precision compared with conventional two‑stage adjustment and external‑control‑only approaches, provided the external data meet reasonable assumptions.
This work demonstrates that thoughtful integration of external data can strengthen clinical trial conclusions.”
Title: Augmented two-stage estimation for treatment switching in oncology trials: Leveraging external data for improved precision
Authors: Harlan Campbell, Nicholas Latimer, Jeroen P Jansen, Shannon Cope

More posts featuring Zhaohui Su on OncoDaily.