Robert Orlowski, Deputy Chair of Lymphoma/Myeloma, Vice Chair of MM Research, and Florence Maude Thomas Cancer Research Professor at the University of Texas MD Anderson Cancer Center, shared a post on X:
“Myeloma Paper of the Day:
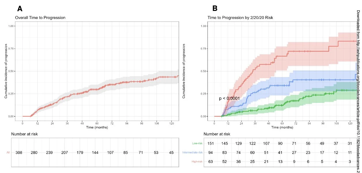
Smoldering myeloma pts from MSKCC were 49% low risk, 30.5% intermediate, 20.5% high by 2/20/20; 1/2/5/10-year progression rates 1.3/4.8/12.2/28.9%, 7.6/12.1/34.1/40.4% and 16/34.8/66.7/83.2% for low, intermediate and high risk.”
Title: Prognosis and patterns of progression in smoldering multiple myeloma
Authors: Theresia Akhlaghi, Kylee H. Maclachlan, Adriana Wiggins, Saad Z. Usmani, Andriy Derkach, Malin L Hultcrantz
You can read the Full Article in Blood Advances.

You can find more posts featuring Robert Orlowski on OncoDaily.