Robert Orlowski, Deputy Chair of Lymphoma/Myeloma, Vice Chair of MM Research, and Florence Maude Thomas Cancer Research Professor at the University of Texas MD Anderson Cancer Center, shared a post on X:
“Myeloma Paper of the Day:
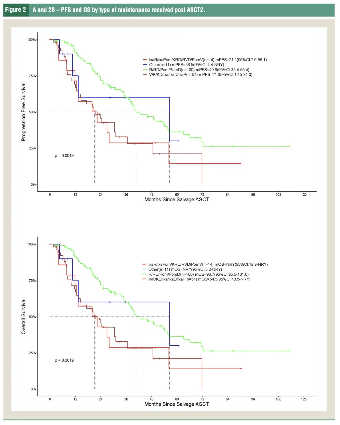
Real-world evidence from Canadian Myeloma Research Group shows post-ASCT2 maintenance associated with improved outcomes, particularly in patients who had maintenance after ASCT1 (25.2 months (95% CI 20.8-39.6) vs 11.6 (8.51-18.8)).”
Title: Salvage Autologous Stem Cell Transplantation Outcomes and The Use of Maintenance in Relapsed Multiple Myeloma: Real-world evidence from the Canadian Myeloma Research Group Database
Authors: Rayan Kaedbey, Christopher P. Venner, Donna Reece, Kevin Hay, Engin Gul, Jiandong Su, Arleigh McCurdy, Michael P. Chu, Victor H. Jimenez-Zepeda, Kevin Song, Hira Mian, Martha Louzada, Michael Sebag, Anthony Reiman, Darrell White, Julie Stakiw, Rami Kotb, Muhammad Aslam, Esther Masih-Khan, Debra Bergstrom, and Richard LeBlanc
You can read the Full Article in Clinical Lymphoma, Myeloma and Leukemia.

You can find more posts featuring Robert Orlowski on OncoDaily.