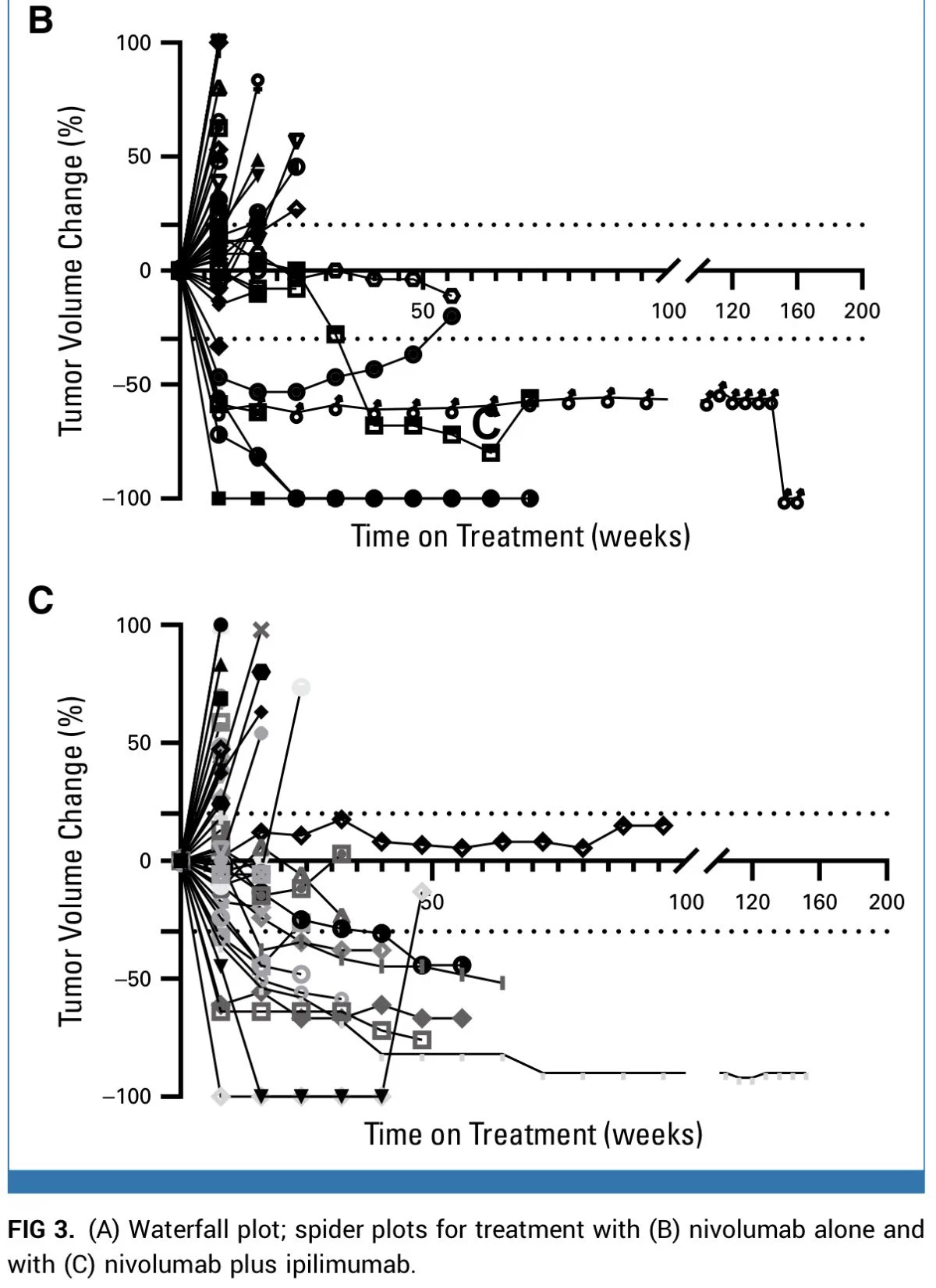
Pashtoon Kasi, Medical Director of GI Medical Oncology at City of Hope, shared a post on X about a recent article on Van K. Morris et al, published in Journal of Clinical Oncology:
“Combination immunotherapy. CTLA4 plus PD1 VS PD1 alone
Kudos to Van Morris and Cathy Eng and the cooperative group for this tremendous effort. Any insight into who the responders are?
Metastatic sites?”
Title: NCI9673 (Part B): ETCTN Randomized Phase II Study of Nivolumab With or Without Ipilimumab in Refractory, Metastatic Squamous Cell Carcinoma of the Anal Canal
Authors: Van K. Morris, Kristen K. Ciombor, Lianchun Xiao, Joshua K. Ochieng, Enrica Marmonti, Blase Polite, Benjamin A. Weinberg, John C. Krauss, John Hays, Sarbajit Mukherjee, Olivia Aranha, Syma Iqbal, Tony Shields, Al B. Benson, Syed Kazmi, Christopher Lieu, Howard Hochster, Jennifer Whisenant, Cara Haymaker, Cathy Eng
Read the Full Article on Journal of Clinical Oncology

More posts featuring Pashtoon Kasi.