Robert Orlowski, Deputy Chair of Lymphoma/Myeloma, Vice Chair of MM Research, and Florence Maude Thomas Cancer Research Professor at the University of Texas MD Anderson Cancer Center, shared a post on X:
“Myeloma Paper of the Day:
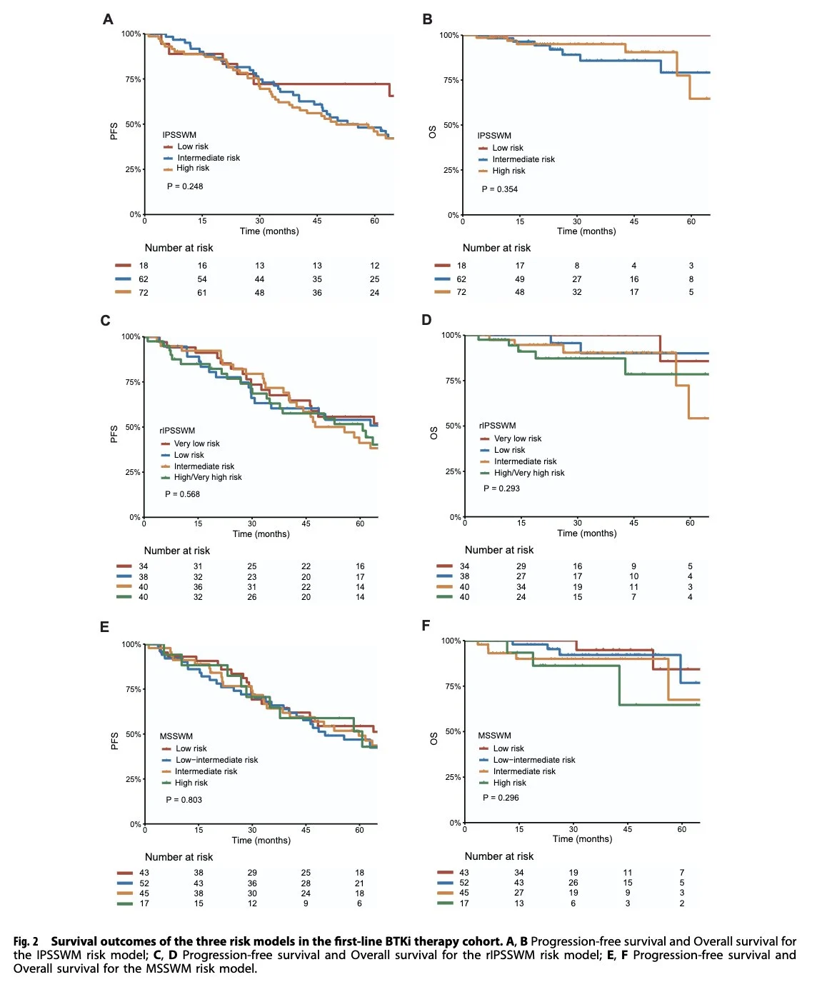
Clinical risk models remain relevant for Waldenström pts receiving non-BTKi therapy, but molecular features, especially MYD88, CXCR4 and TP53 mutations provide superior prognostic insights for pts w/ BTKi-based regimens.”
Title: Prognostic significance of clinical risk models and genomic alterations in Waldenström macroglobulinemia before or after the BTK inhibitor era
Authors: Yuting Yan, Weihao Chen, Ying Yu, Yuxi Li, Wenjie Xiong, Xinyi Zhang, Tingyu Wang, Wei Liu, Weiwei Sui, Zhen Yu, Mu Hao, Gang An, Dehui Zou, Lugui Qiu, Shuhua Yi
You can read the Full Article in Leukemia.

You can find other articles featuring Robert Orlowski on OncoDaily.