Robert Orlowski, Deputy Chair of Lymphoma/Myeloma, Vice Chair of MM Research, and Florence Maude Thomas Cancer Research Professor at the University of Texas MD Anderson Cancer Center, shared a post on X:
“Myeloma Paper of the Day:
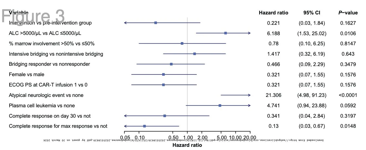
Dexamethasone prophylaxis for high lymphocyte expansion (ALC >5000/μL, which predicted severe early neurologic events/high mortality) post-cilta-cel in myeloma demonstrates promise for risk mitigation, including better OS․”
Title: Dexamethasone prophylaxis for excessive lymphocyte expansion after cilta-cel in multiple myeloma
Authors: Peter A. Forsberg, Jacqueline A. Turner, Marita Meyer, Diana Abbott, Sara Nicholson, Henning Schade, Jeffrey V. Matous, Tara Gregory
You can read the Full Article in Blood Advances.

You can find other articles featuring Robert Orlowski on OncoDaily.