Robert Orlowski, Deputy Chair of Lymphoma/Myeloma, Vice Chair of MM Research, and Florence Maude Thomas Cancer Research Professor at the University of Texas MD Anderson Cancer Center, shared a post on X:
“Myeloma Paper of the Day:
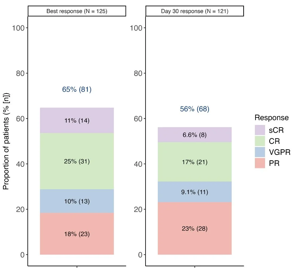
Analysis from US Multiple Myeloma Immunotherapy Consortium of real-world elranatamab data finds median PFS and OS 4.3 and 14.6 mos; elevated LDH and low Hgb predict poor outcomes; prior BCMA exposure reduced response depth.”
Title: Real-world outcomes with elranatamab in multiple myeloma: a multicenter analysis from the U.S. Multiple Myeloma Immunotherapy Consortium
Authors: Andrew J. Portuguese, James A. Davis, Shahzad Raza, Omar Castaneda Puglianini, Ciara Freeman, Melissa Alsina, Corbin Wright, Brandon J. Blue, Rachid C. Baz, Kenneth H. Shain, Utkarsh Goel, Jack Khouri, Faiz Anwer, Hossam M. Ali, Oren Pasvolsky, Mahmoud Gaballa, Krina Patel, Hector Garcia-Pleitez, Damian Mikulski, Lindsay Fogel, Eli Zolotov, Aishwarya Sannareddy, Aimaz Afrough, Larry D. Anderson Jr, Kelley Julian, Danai Dima, Rahul Banerjee, Emily C. Liang, Raffaella Cassano Cassano, Megan M. Herr, Hamza Hassan, Leyla Shune, Jeries Kort, Shonali Midha, Omar Nadeem, Surbhi Sidana, Yi Lin, Frederick L. Locke, Doris K. Hansen, Douglas Sborov, Noa Biran, Ariel Grajales-Cruz
You can read the Full Article in Blood Cancer Journal.

You can find other articles featuring Robert Orlowski on OncoDaily.