Robert Orlowski, Deputy Chair of Lymphoma/Myeloma, Vice Chair of MM Research, and Florence Maude Thomas Cancer Research Professor at the University of Texas MD Anderson Cancer Center, shared a post on X:
“Myeloma Paper of the Day:
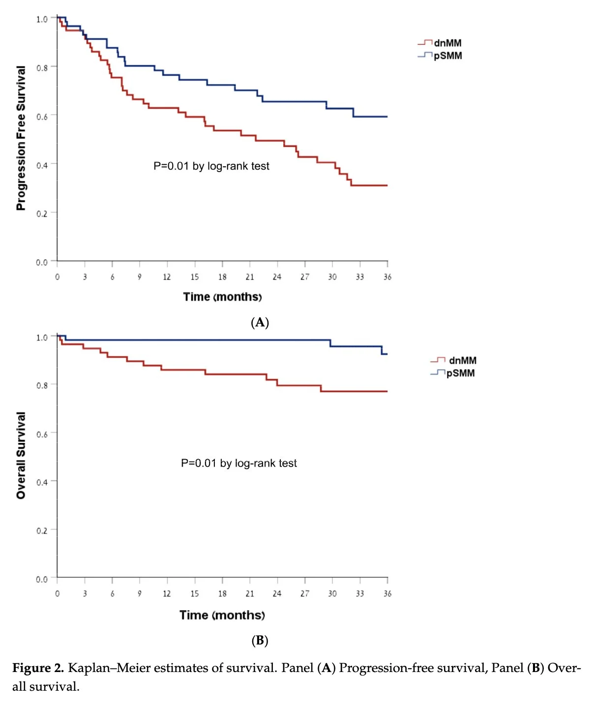
Surveillance of smoldering myeloma pts who progress to active disease associated w/ favorable outcomes, including less irreversible renal complications, hypercalcemia, lytic lesions, pathological fxs, detrimental bone dz.”
Title: Surveillance of Smoldering Myeloma Patients Who Progress to Active Disease Is Associated with Favorable Outcomes
Authors: Gil Fridberg, Inbar Cohen, Renana Robinson, Iuliana Vaxman, Tamir Shragai, Svetlana Trestman, Tomer Ziv-Baran, Natan Melamed, Pia Raanani, Irit Avivi, Yael C. Cohen
You can read the Full Article in Cancers.

You can find other articles featuring Robert Z. Orlowski on OncoDaily.