Robert Orlowski, Deputy Chair of Lymphoma/Myeloma, Vice Chair of MM Research, and Florence Maude Thomas Cancer Research Professor at the University of Texas MD Anderson Cancer Center, shared a post on X:
“Myeloma Paper of the Day:
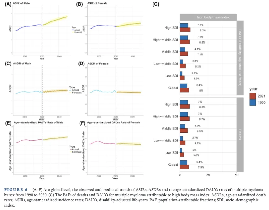
Global myeloma incidence (1990-2021) had slight increase, primarily in ageing populations and high/high-middle sociodemographic index (SDI) areas; more significant in males and middle SDI regions; mortality had minimal growth.”
Title: Incidence and mortality of multiple myeloma: Global, regional and national estimates and projections from the Global Burden of Disease Study 2021
Authors: Fujun Qu, Mingxu Hui, Fan Yang, Yuchan He, Xiaotao Wang
You can read the Full Article in British Journal of Haematology.

You can find other articles featuring Robert Z. Orlowski on OncoDaily