Robert Orlowski, Deputy Chair of Lymphoma/Myeloma, Vice Chair of MM Research, and Florence Maude Thomas Cancer Research Professor at the University of Texas MD Anderson Cancer Center, shared a post on X:
“Myeloma Paper of the Day:
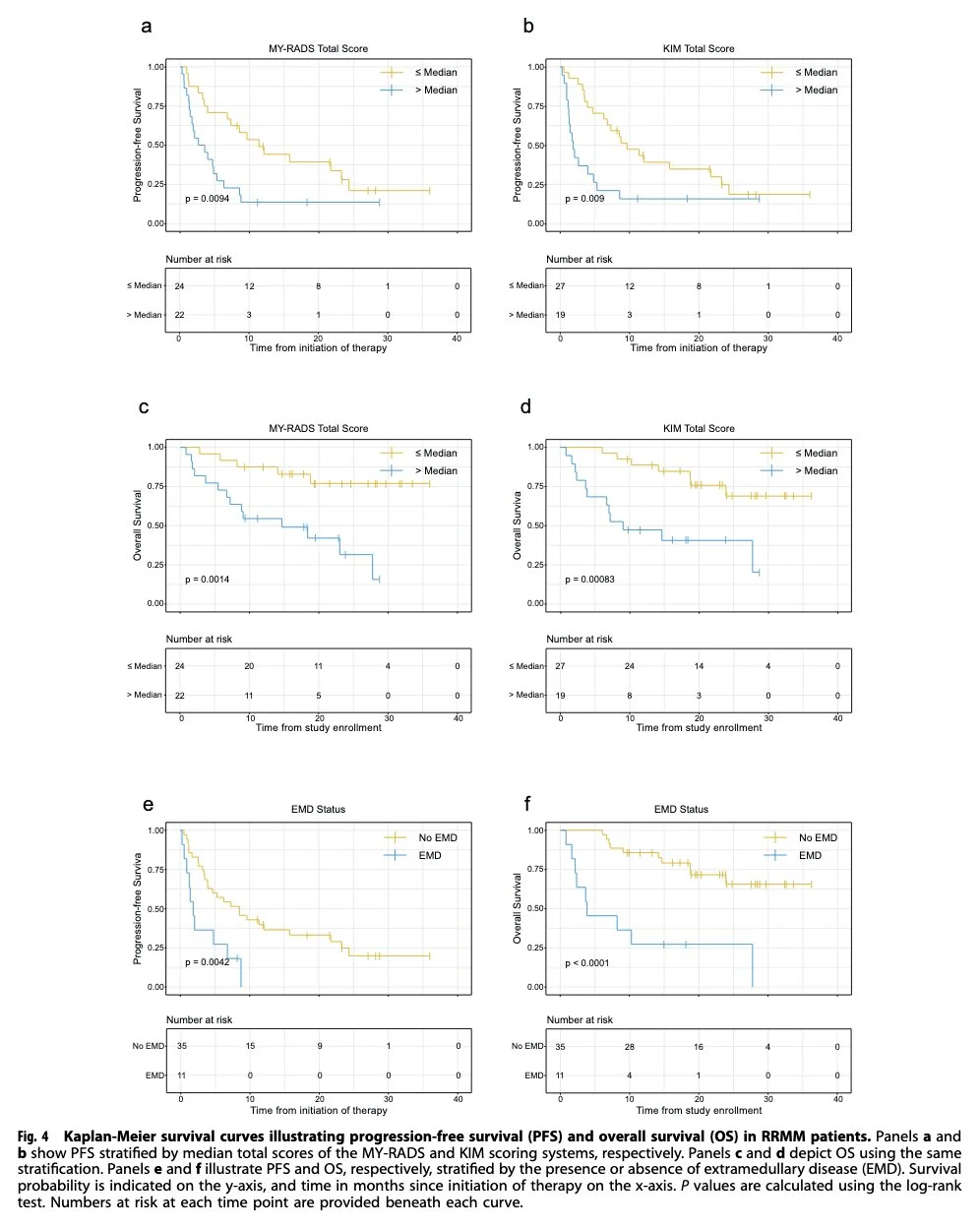
Structured WB MRI shows increased para- and extra-medullary dz + reduced diffuse marrow infiltration in RR vs. NDMM, emphasizing shift to BM-independent growth; MY-RADS and KIM scores independently correlate with RRMM PFS and OS.”
Title: Structured whole-body MRI highlights clinically relevant disease pattern changes in relapsed/refractory multiple myeloma
Authors: Martin Grözinger, Muriel Schlanke, Jana Gröne, Stella Erdmann, Marina Hajiyianni, Alexandra M. Poos, Heidi Thierjung, Elias K. Mai, Sandra Sauer, Dorothee Kaudewitz, Kaya Veelken, Christian S. Michel, Jan Hendrik Frenking, Lilli Sophie Sester, Tim Frederik Weber, Sam Sedaghat, Markus Wennmann, Carsten Müller-Tidow, Heinz-Peter Schlemmer, Stefan Delorme, Marc S. Raab, Hartmut Goldschmidt, Niels Weinhold, Lukas John
You can read the Full Article in Leukemia.

You can find more posts featuring Robert Orlowski on OncoDaily.