Robert Orlowski, Deputy Chair of Lymphoma/Myeloma, Vice Chair of MM Research, and Florence Maude Thomas Cancer Research Professor at the University of Texas MD Anderson Cancer Center, shared a post on X:
“Myeloma Paper of the Day:
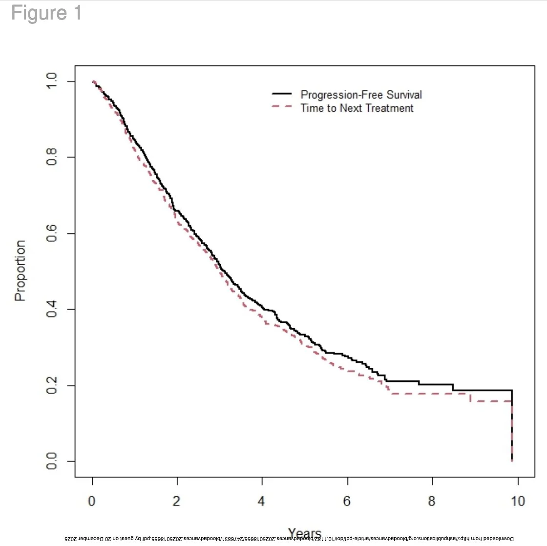
Real-world comparison of PFS and TTNT in 761 NDMM pts finds 92% ORR (≥CR 22.1%, VGPR 50.2%, PR 20.3%); 61.5% experienced a PFS and 64.3% a TTNT event at median f/u of 5.1 yrs; PFS typically preceded TTNT with a median of 26 days.”
Title: Real-world comparison of progression-free survival and time to next therapy in 761 newly diagnosed multiple myeloma patients
Authors: Hira Mian, Mariano Arribas, Rafael Fonseca, Erin Mutterback, Omar Shahid, Rohan Gouda, Gregory Russell Pond, Alissa Visram
You can read the Full Article in Blood Advances.

You can find more posts featuring Robert Orlowski on OncoDaily.