Robert Orlowski, Deputy Chair of Lymphoma/Myeloma, Vice Chair of MM Research, and Florence Maude Thomas Cancer Research Professor at the University of Texas MD Anderson Cancer Center, shared a post on X:
“Myeloma Paper of the Day:
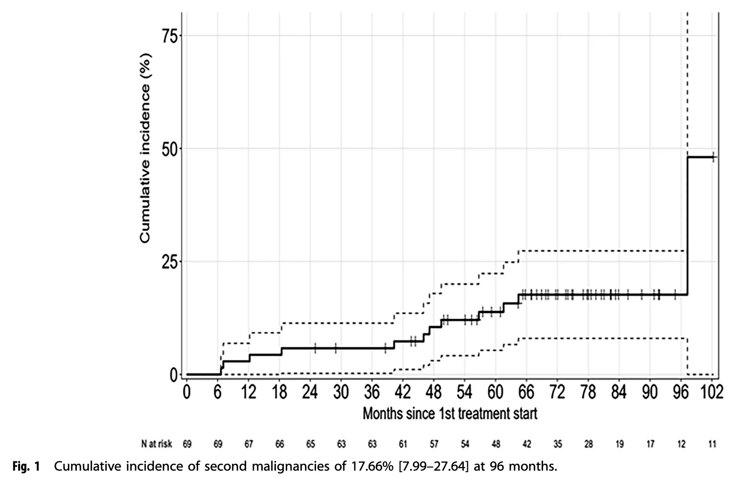
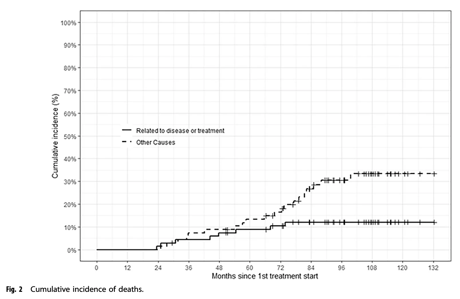
Long-term follow-up of bendamustine/rituximab for Waldenström macroglobulinemia finds median OS NR, PFS 82.2 mos (69.7–93.1), EFS 81.5 months, cumulative SPM incidence 2.9%, 5.8%, 10.5%, and 17.6% at 12, 24, 48, and 96 months.”
Title: Late toxicity and long-term efficacy of first-line bendamustine and rituximab combination in patients with Waldenström macroglobulinemia
Authors: Véronique Leblond, Jean-Richard Eveillard, Driss Chaoui, Doriane Cavalieri, Caroline Dartigeas, Lise Willems, Ronan Le Calloch, Fathia Merabet, Xavier Roussel, Benoît Bareau, Sabine Tricot, Jehan Dupuis, Stéphanie Poulain, Kamel Laribi, Damien Roos-Weil
You can read the Full Article in Leukemia.

You can find more posts featuring Robert Orlowski on OncoDaily.