Robert Orlowski, Deputy Chair of Lymphoma/Myeloma, Vice Chair of MM Research, and Florence Maude Thomas Cancer Research Professor at the University of Texas MD Anderson Cancer Center, shared a post on X:
“Myeloma Paper of the Day:
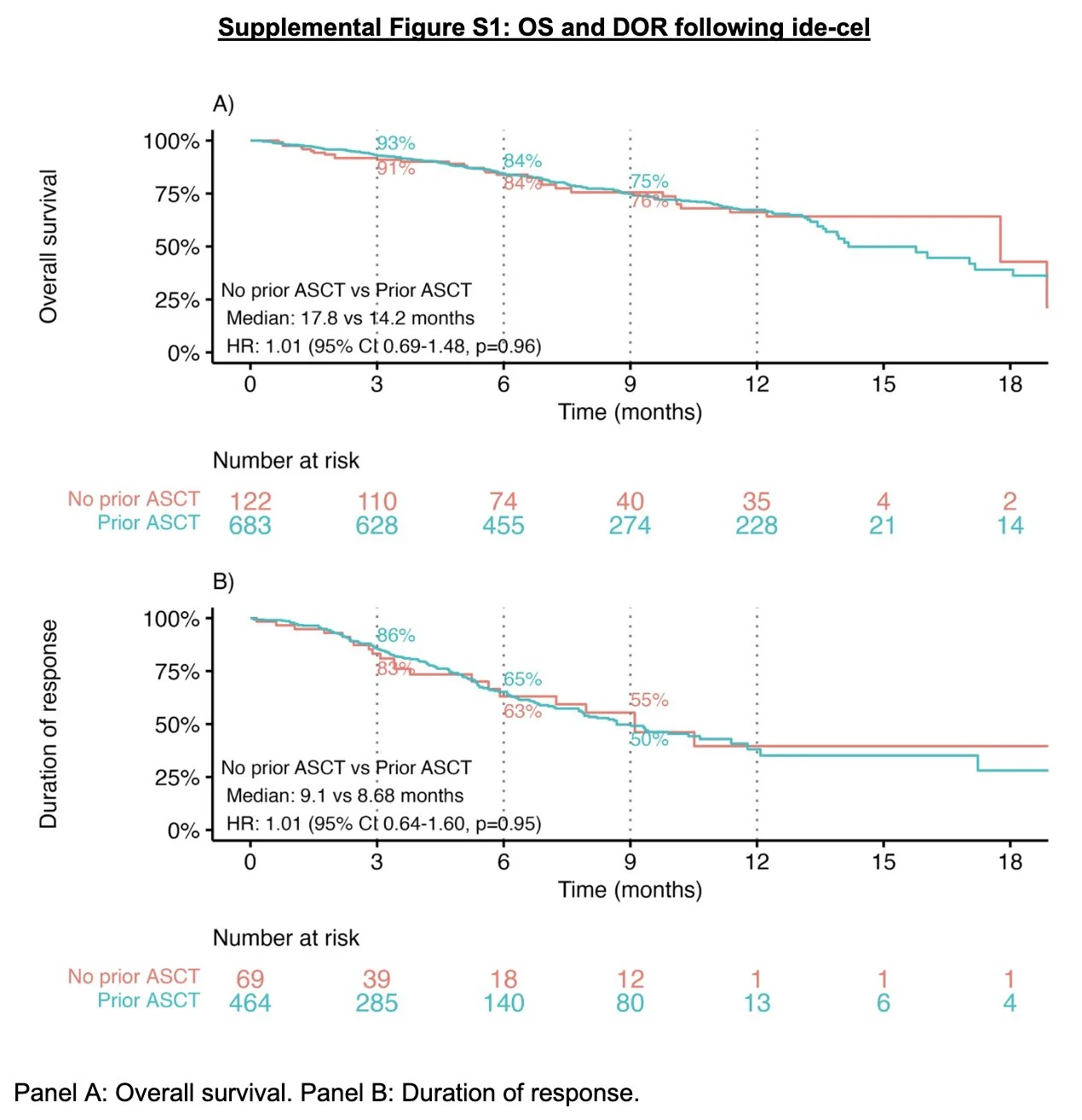
Secondary analysis of CIBMTR data does not identify any significant association between prior transplantation and clinical outcomes following idecabtagene vicleucel.”
Title: Prior transplantation and idecabtagene vicleucel in multiple myeloma: a secondary analysis of CIBMTR data
Authors: Rahul Banerjee, Christy Khouderchah, Othman Salim Akhtar, Emily C. Liang, Jordan Gauthier, Madhav V. Dhodapkar, Andrew J. Portuguese
You can read the Full Article in Blood.

You can find more posts featuring Robert Orlowski on OncoDaily.