Robert Orlowski, Deputy Chair of Lymphoma/Myeloma, Vice Chair of MM Research, and Florence Maude Thomas Cancer Research Professor at the University of Texas MD Anderson Cancer Center, shared a post on X:
“Myeloma Paper of the Day:
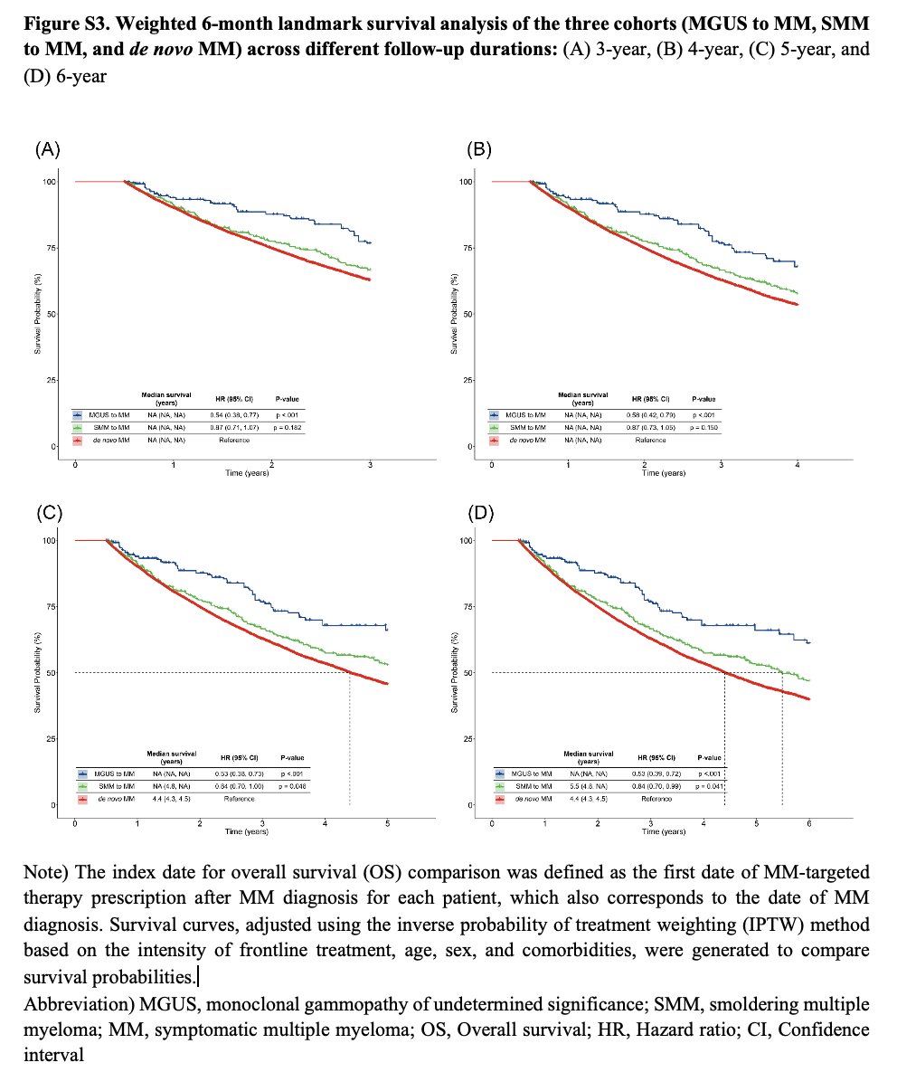
Nationwide population-based study using health insurance data in Korea finds improved survival in myeloma if prior detection of precursors, MGUS to MM and SMM to MM cohorts had improved OS vs. de novo with HRs of 0.53 and 0.83.”
Title: Improved survival in multiple myeloma following prior detection of precursor conditions: a nationwide real-world study
Authors: Suein Choi, Sung-Soo Park, Chae Hyeon Lee, Seungpil Jung, Constantinos Koshiaris, Karthik Ramasamy, Seunghoon Han, Chang-Ki Min
You can read the Full Article in Blood Cancer Journal.

You can find more posts featuring Robert Orlowski on OncoDaily.