Diego Díaz-García, Medical Oncologist, CEO, and Founder of CánCare – Advanced Oncology Specialty, shared a post on X:
“Rituximab as Adjunctive Therapy in FSGS
Response rates: 3, 6, and 12 months: 57, 71, and 74%
12 month RTX response was positively associated:
-↓ Proteinuria: OR= 0.49, P = 0.043
-Steroid dependency: OR = 20.59, P = 0.002
Sustained remission in 1year responders: 69.4%.”
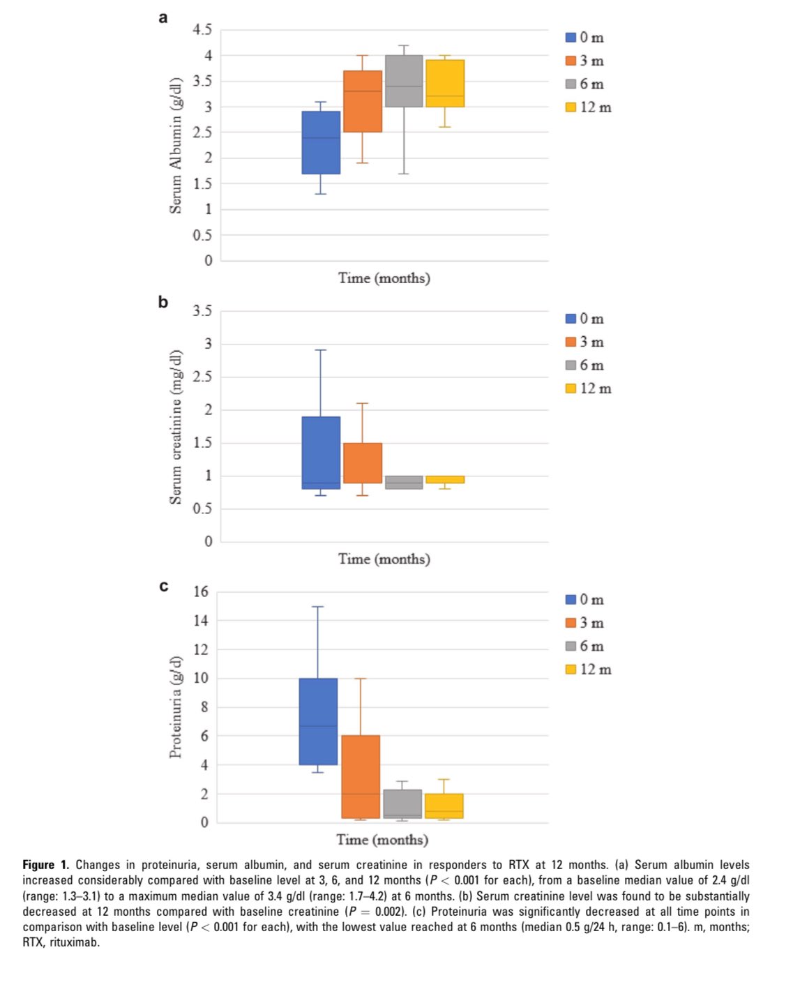
Title: Efficacy of Rituximab as Adjunctive Therapy to Immunosuppressive Agents in Adult Primary Focal Segmental Glomerulosclerosis
Authors: Osama Nady Mohamed, Marwa Ibrahim Mohamed, Shereen Mohammed Elsaghir, Shimaa Abdelrazek, Aml Azzam, Tarek Mahmoud Senosy Mohamed, Hassan M.H. Mohammed, Rasha Yousef, Ayman Ahmed Abd Rabou, Reem Y. Abdelazeem Elgarhy, Alaa Khalifa Mohamed Mahdy, Mohamed Ahmed Abdelsamie, Manar M. Sayed, Eman Fathi, Nermeen Dahi Mohammed Toni, Rabeh Khairy Saleh, Basma Fathy
Read the Full Article.

More posts featuring Diego A. Díaz-García.