Alessandro Di Federico, Medical Oncologist and Ph.D. student at the University of Bologna, shared a post on X:
“Biomarker complexity is rapidly increasing, yet the cost and accessibility of the technologies needed to implement them are not always keeping pace In JTO online, our comprehensive study of the routinely-assessed TTF-1 expression in lung adenocarcinoma.
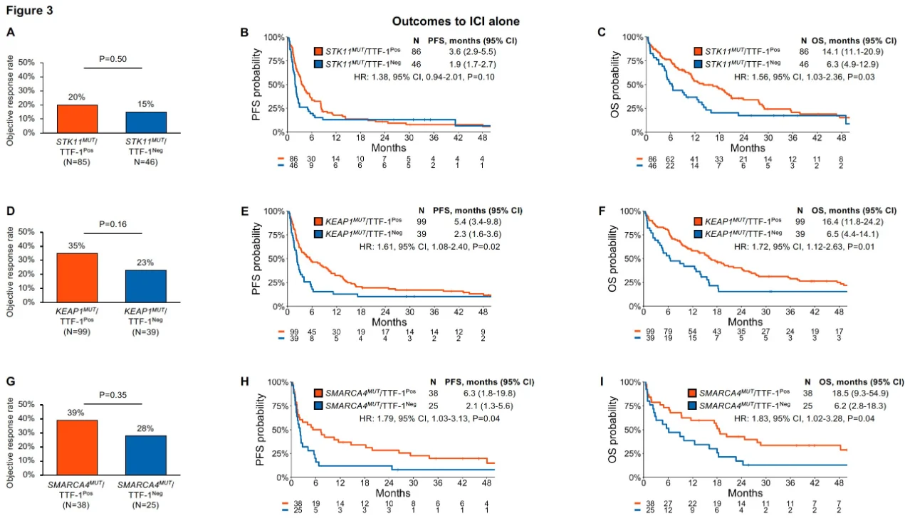
15% of 3,297 LUAD lacked TTF-1 expression. These pts less frequently had brain mets, but showed higher frequency of bone and adrenal mets. Moreover, these tumors had lower PD-L1 and more frequent KRAS (especially G12D/V) and high-risk mutations, such as STK11, KEAP1, and SMARCA4.
TTF-1 negativity strongly correlated with worse outcomes to ICI monotherapy, chemo-immunotherapy, and durvalumab consolidation after concurrent chemoradiotherapy for stage III LUAD, even after accounting for potential confounders (including PD-L1, STK11, KEAP1, SMARCA4).
TTF-1 negativity stratified outcomes even among pts with high-risk mutations (STK11, KEAP1, and SMARCA4). However, among TTF-1 negative cases, having or not these mutations did not change the outcomes, suggesting that TTF-1 may represent a dominant determinant in this context.
Importantly, TTF-1 negativity was associated with worse outcomes even among patients with KRAS G12C mutant LUAD treated with the KRAS G12C-inhibitors sotorasib or adagrasib.
Can TTF-1 expression change? among 51 cases w/ paired primary and metastatic samples as a surrogate of chronological evolution, TTF-1 only changed from + (in the primary) to – (in the met), and never from – to +. This change was often seen w/ acquired STK11, KEAP1, and SMARCA4 muts.
In conclusion, a routinely-assessed and inexpensive immunohistochemical biomarker can still tell us a lot of valuable information. Find more analyses and details in the paper.
Title: TTF-1 expression in lung adenocarcinoma: clinicopathologic, genomic, and immunophenotypic correlates and outcomes to immunotherapy-based treatments and KRASG12C inhibitors.
Authors: Alessandro Di Federico, Lingzhi Hong, Arielle Elkrief, Rohit Thummalapalli, Alissa J. Cooper, Biagio Ricciuti, Subba Digumarthy, Joao V. Alessi, Pooja Gogia, Grace M. Hambelton, Federica Pecci, Maisam Makarem, Malini M. Gandhi, Edoardo Garbo, Andrea De Giglio, Ambrogio Gagliano, Francesca Sperandi, Francesco Gelsomino, Stefano Scalera, Laura Cipriani, Daniele Marinelli, Giuseppe Lamberti1, Narek Shaverdian, Jessica Haradon, Tom Nguyen, Emma Voligny, Marc Ladanyi, Jianjun Zhang, Don L. Gibbons, John V. Heymach, Mizuki Nishino, Scott J. Rodig, Kathleen Pfaff, Xinan Wang, Natasha Rekhtman, Lynette M. Sholl, Jia Luo, Bruce E. Johnson, Pasi A. Janne, Ravi Arvind, Justin F. Gainor, Marcello Maugeri-Saccà, Andrea Ardizzoni, Rebecca S. Heist, Kathryn C. Arbour, Adam J. Schoenfeld, Natalie I. Vokes, Mark M. Awa.

Other articles featuring Alessandro Di Federico on OncoDaily.