Robert Orlowski, Deputy Chair of Lymphoma/Myeloma, Vice Chair of MM Research, and Florence Maude Thomas Cancer Research Professor at the University of Texas MD Anderson Cancer Center, shared a post on X:
“Myeloma Paper of the Day:
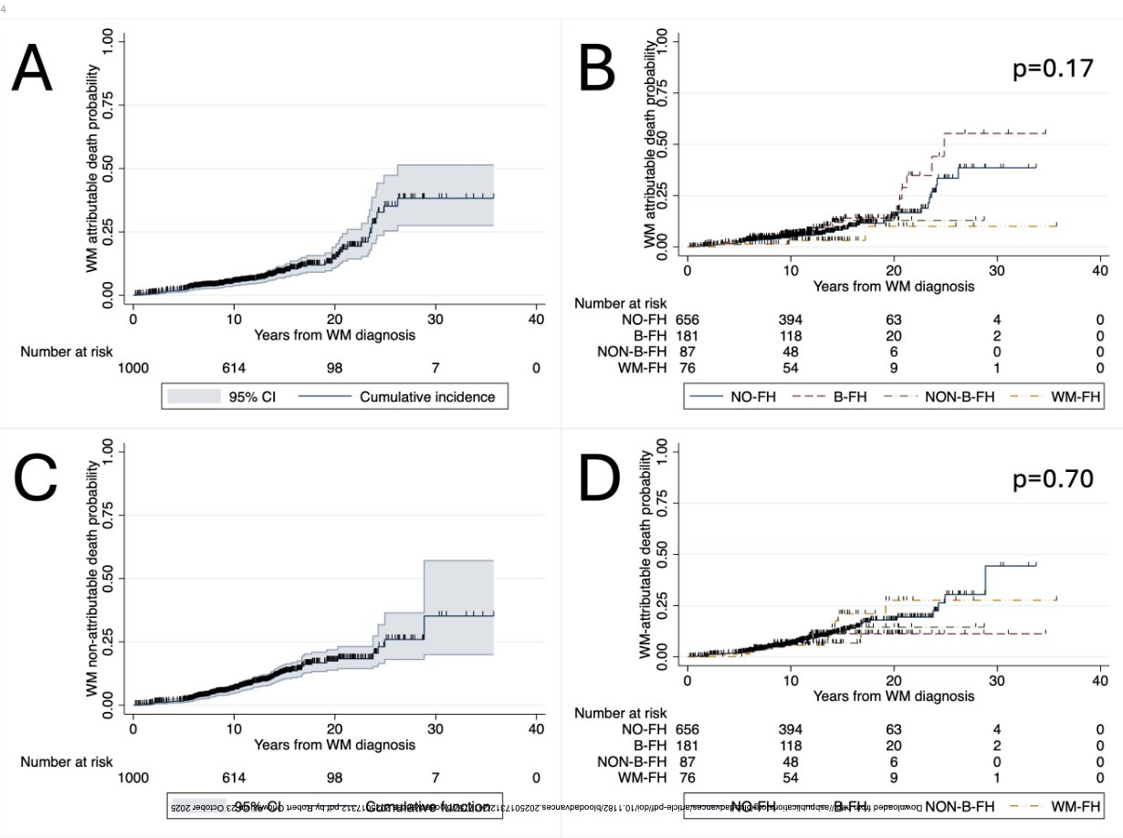
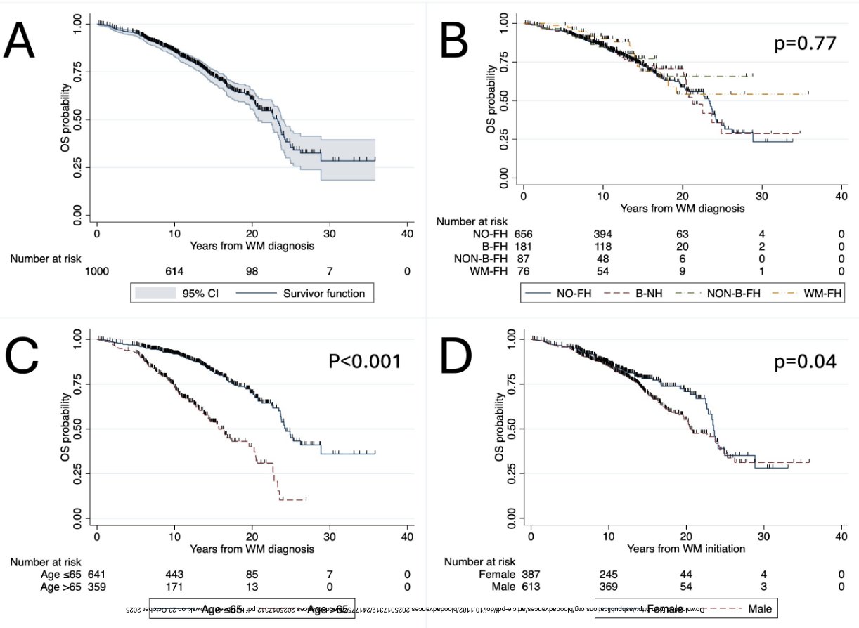
Study of familial clusters and clinical features, complications, and outcomes in 1000 patients with Waldenström finds more women in the WM-family history cluster, higher odds of Bing-Neel syndrome, no impact on TTFT, SAFTI, or OS.”
Title: Familial Clusters and Clinical Features, Complications, and Outcomes in 1000 Patients with Waldenström Macroglobulinemia
Authors: Andres Ramirez-Gamero, Nickolas Tsakmaklis, Zachary R Hunter, Maria Luisa Guerrera, Alberto Guijosa, Shayna Sarosiek, Steven P. Treon, Jorge J. Castillo
You can read the Full Article in Blood Advances.

You can find more posts featuring Robert Orlowski on OncoDaily.
