Oscar Tahuahua, Medical Oncology Fellow at the National Cancer Institute of Mexico, shared a post on X:
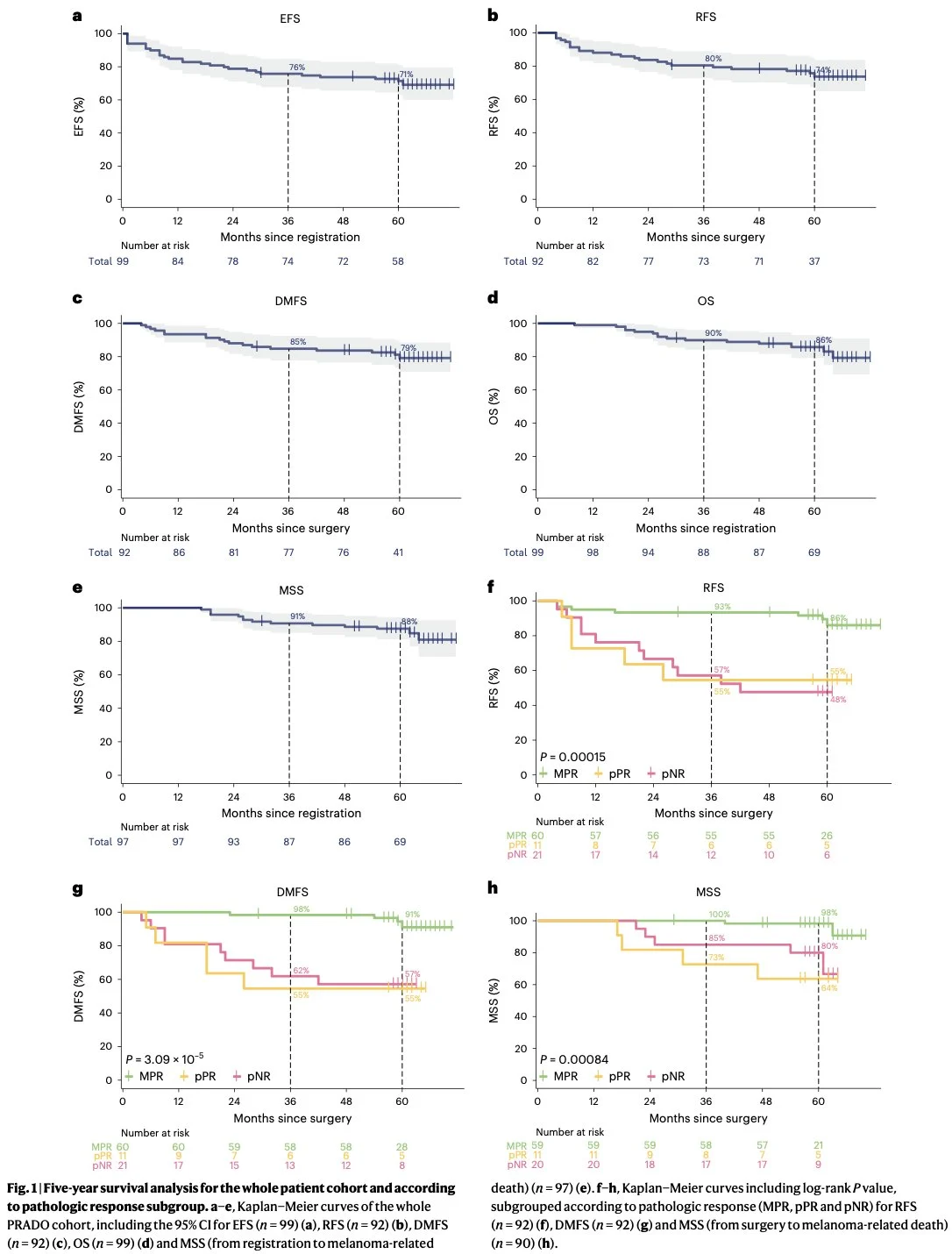
“Neoadjuvant Ipilimumab plus nivolumab in Melanoma shows durable 5-year survival. In PRADO 5-year OS ~86%
- Pathology (not stage) defined outcomes
- MPR (≤10% viable tumor) ~98% 5-yr OS
- No MPR ~71%
Baseline IFNγ, PD-L1 and TMB correlated with response. MPR was a clinically meaningful surrogate.”
Title: Neoadjuvant ipilimumab plus nivolumab in melanoma: 5-year survival and biomarker analysis from the phase 2 PRADO-trial
Authors: Lotte L. Hoeijmakers, Petros Dimitriadis, Steven C. M. A. Wijnen, Irene L. M. Reijers, Marta Lopez-Yurda, Alexander M. Menzies, Annegien Broeks, Sten Cornelissen, Alejandro Torres Acosta, Anja van der Wal, Robyn P. M. Saw, Judith M. Versluis, Winan J. van Houdt, Michel W. Wouters, Jurriaan Romano, Eliza A. Rozeman, Lindsay G. Grijpink-Ongering, Ellen Kapiteijn, Astrid A. M. van der Veldt, Karijn P. M. Suijkerbuijk, Hanna Eriksson, Geke A. P. Hospers, Jos A. van der Hage, Dirk J. Grünhagen, Christian U. Blank
Read the Full Article.

More posts featuring Oscar Tahuahua.