Robert Orlowski, Deputy Chair of Lymphoma/Myeloma, Vice Chair of MM Research, and Florence Maude Thomas Cancer Research Professor at the University of Texas MD Anderson Cancer Center, shared a post on X:
“Myeloma Paper of the Day:
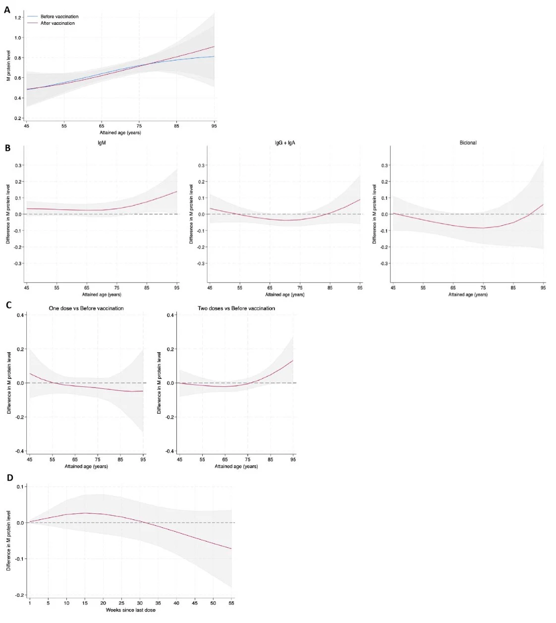
iStopMM study finds no impact of SARS-CoV-2 vaccination on pts w/ MGUS; annual increases in M protein levels were small and similar before and after vaccination, across sexes, isotypes, vaccine types, and dose numbers.”
Title: Impact of SARS-CoV-2 vaccination on monoclonal gammopathy of undetermined significance: results from the population-based iStopMM study
Authors: Robert Palmason, Elias Eythorsson, Sæmundur Rögnvaldsson, Sigrún Thorsteinsdóttir, Sara Ekberg, Michael Crowther, Elin Ruth Reed, Jon Þórir Oskarsson, Gudrun Asta Sigurdardottir, Thor Aspelund, Brynjar Vidarsson, Pall Torfi Onundarson, Bjarni Agnar Agnarsson, Margret Sigurdardottir, Ingunn Thorsteinsdottir, Signy Vala Sveinsdottir, Isleifur Olafsson, Asdis Rosa Thordardottir, Asbjorn Jonsson, Olafur S. Indridason, Gauti Gislason, Andri Olafsson, Jon Kristinn Sigurdsson, Hlif Steingrimsdottir, Thorir Einarsson Long, Malin Hultcrantz, Brian G. M. Durie, Stephen Harding, Ola Landgren, Runolfur Palsson, Thorvardur Jon Love, Sigurdur Yngvi Kristinsson
You can read the Full Article in Blood Cancer Journal.

You can find other articles featuring Robert Orlowski on OncoDaily.