Robert Orlowski, Deputy Chair of Lymphoma/Myeloma, Vice Chair of MM Research, and Florence Maude Thomas Cancer Research Professor at the University of Texas MD Anderson Cancer Center, shared a post on X:
“Myeloma Paper of the Day:
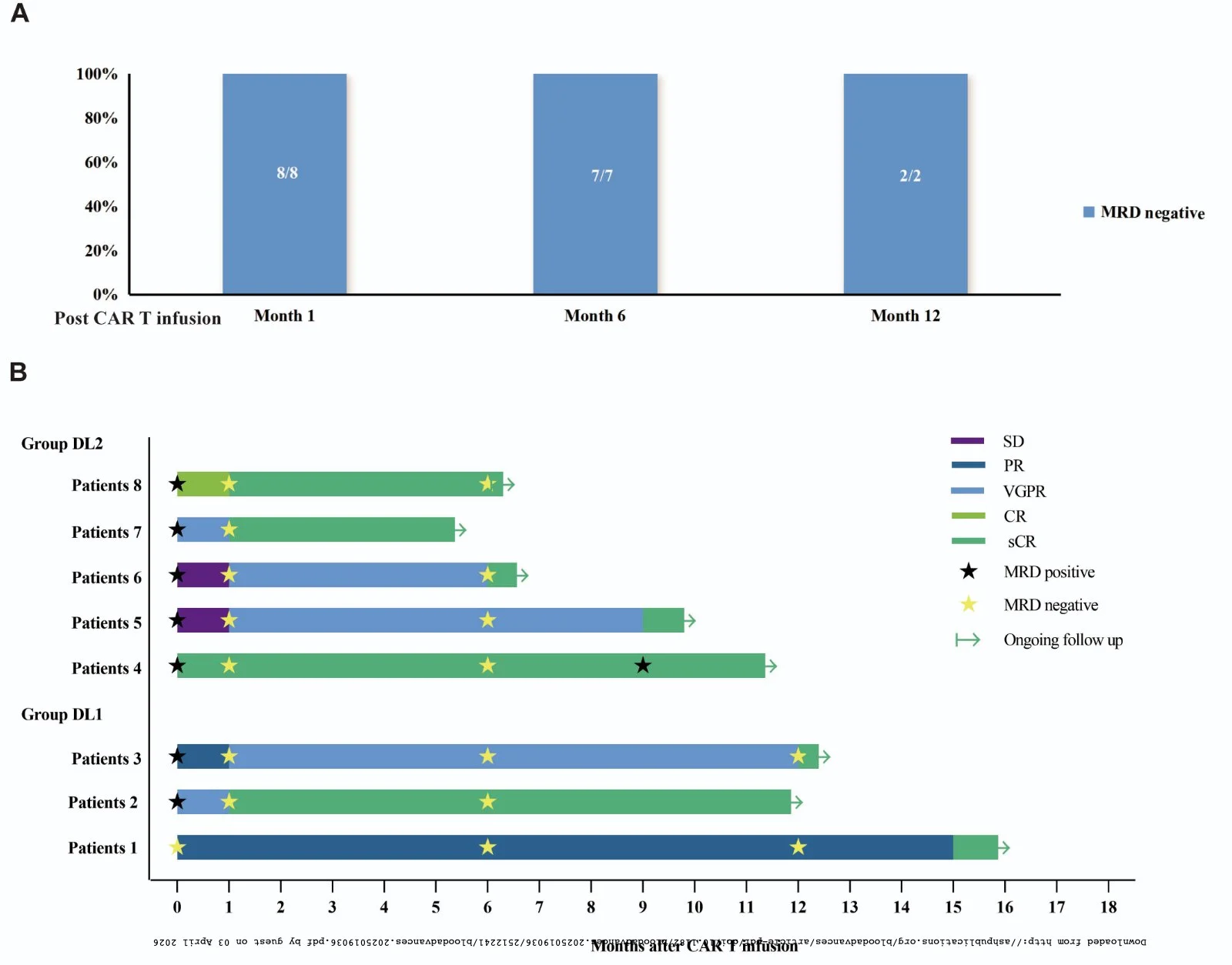
Phase I of AZD0120 BCMA/CD19 dual CAR T in older NDMM pts (N=8) finds 100% sCR and MRD negativity w/ median follow-up 9.8 mos; 4 CRS (all G1), no ICANS; ≥G3 TEAEs were lymphopenia (25%), leukopenia (50%), neutropenia (75%)”.
Title: BCMA/CD19 dual-targeting CAR T cell therapy in older patients with newly diagnosed multiple myeloma: a phase I study
Authors: Jin Liu, Xiaoqiang Fan, Liying Peng, Jia Liu, Haiyan He, Wanting Qiang, Lina Jin, Lang Shi, Jing Lu, Pei Guo, Nina Shah, Qi Zhang, Lianjun Shen, Juan Du
You can read the Full Article in Blood Advances.

You can find other articles featuring Robert Orlowski on OncoDaily.