Robert Orlowski, Deputy Chair of Lymphoma/Myeloma, Vice Chair of MM Research, and Florence Maude Thomas Cancer Research Professor at the University of Texas MD Anderson Cancer Center, shared a post on X:
” ‘Myeloma Paper of the Day:
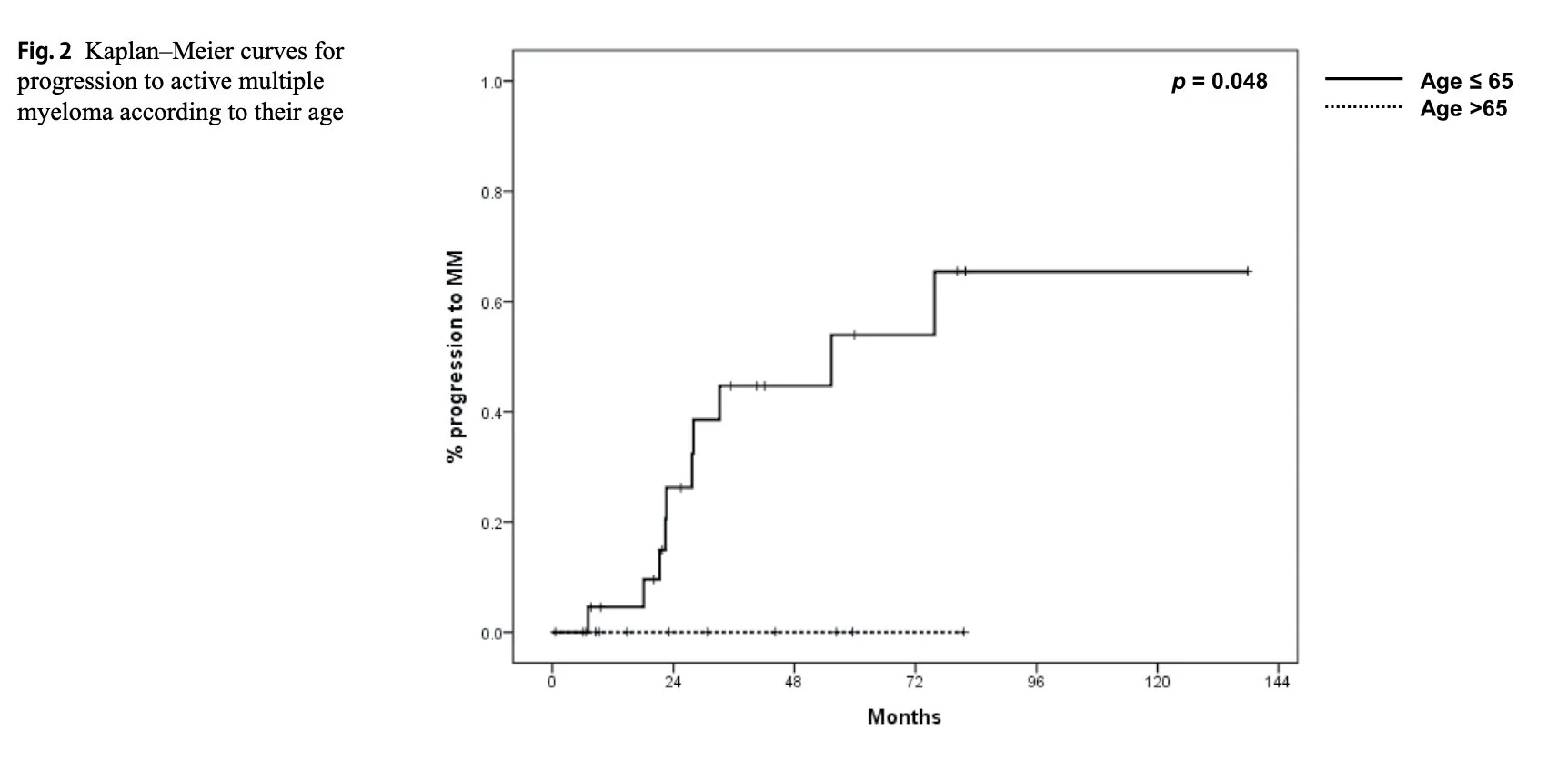
Korean Multicenter Retrospective analysis (KMM2401 study) of real-world outcomes of SLiM-only myeloma finds lower risk of progression @ 2-years in group with >1 focal lesion on MRI and in those who are >65 years of age.”
Title: Real-world outcomes of SLiM-only multiple myeloma: Korean Multicenter Retrospective analysis (KMM2401 study)
Authors: Jun Ho Yi, Dok Hyun Yoon, Sung-Soo Park, Chang-Ki Min, Ji Hyun Lee, Sung-Hoon Jung, Youngil Koh, Hyun Jung Lee, Jae-Cheol Jo, Kihyun Kim
You can read the Full Article in Springer Nature Link.

You can find more posts featuring Robert Orlowski on OncoDaily.