Robert Orlowski, Deputy Chair of Lymphoma/Myeloma, Vice Chair of MM Research, and Florence Maude Thomas Cancer Research Professor at the University of Texas MD Anderson Cancer Center, shared a post on X:
“Myeloma Paper of the Day:
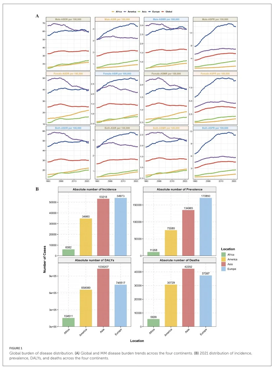
Analysis based on Global Burden of Disease Study 2021 finds Asia has become the primary driving region for growth of global myeloma burden, which is influenced by significant gender, regional, and socioeconomic disparities.”
Title: Burden of multiple myeloma in Asian countries from 1990 to 2021 and trend prediction for 2050: an analysis based on the Global Burden of Disease Study 2021
Authors: Chengjun Hu, Weifeng Chen, Ping Zhang, Tongping Shen, Yu Zhao
You can read the Full Article in Frontiers in Medicine.

You can find more posts featuring Robert Orlowski on OncoDaily.