Aleix Prat, Director of the Clínic Barcelona Comprehensive Cancer Center at Barcelona Clinical Hospital, shared a poat on LinkedIn:
“New paper out today in Clinical Cancer Research
Very happy to share our latest work: “Associations of the HER2DX Genomic Test with Biological and Pathological Features in HER2-positive Breast Cancer.”
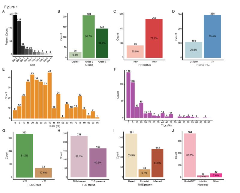
In this multicenter study of 410 tumors, we systematically evaluated how the three HER2DX scores, pCR likelihood, relapse risk, and ERBB2 mRNA expression, relate to standard histopathology in real-world clinical practice.
What we found:
- The HER2DX pCR score was associated with all eight pathological and immune features analyzed (grade, HR status, HER2 IHC, Ki67, TILs, TLS, immune patterns, and histology).
- Among 250 patients treated with neoadjuvant trastuzumab-based therapy, the HER2DX pCR score was the only independent predictor of pCR, outperforming standard clinical-pathological variables.
- The relapse-risk and ERBB2 scores also captured important biological dimensions, proliferation, immune infiltration, luminal differentiation, and HER2 signaling, not fully reflected by conventional pathology.
HER2DX adds clinically relevant information beyond what pathology can provide.
Amazing work led by our amazing breast cancer pathologist Esther Sanfeliu Torres, with the help and support of Anabel Martínez RomeroA huge thank you to all collaborators, institutions, and patients who made this study possible.”
Title: Associations of the HER2DX Genomic Test with Biological and Pathological Features in HER2-positive Breast Cancer
Authors: Silvia Lampis, Alessandro Paolini, Virginia Di Paolo, Angela Galardi, Salvatore Raieli, Evelina Miele, Lauriane Lemelle, Francesco Fabozzi, Annalisa Serra, Angela Mastronuzzi, Maria Antonietta De Ioris, Andrea Masotti, Franco Locatelli, Angela Di Giannatale
Read the Full Article.

More posts featuring Aleix Prat on OncoDaily.